🟦ЦПТ#
Т. Ляпунова
Пусть \(X_1, X_2, ...,X_n\) попарно независимые, одинаково распределеные, с конечной дисперсией случайные величины, тогда при \(n\rightarrow \infty\)
\(S_n = X_1 + X_2 + ...+X_n \xrightarrow{d} N(n\mathbb{E}[X_i], nVar[X_i])\)
\(\overline{X} = \frac{X_1 + X_2 + ...+X_n}{n} \xrightarrow{d} N(0, 1)\)
\( \sqrt{n} (\overline{X} - \mathbb{E}[X_i])\xrightarrow{d} N(0, Var[X_i])\)
\(\frac{\overline{X} - \mathbb{E}[X_i]}{\sqrt{\frac{Var[X_i]}{n}}} \xrightarrow{d} N(0, 1)\)
Замечания
ЦПТ не требует нормальности исходных данных, но требует одинаковости распределений и независимости случайных величин.
Если дисперсия не существует (например, распределение Коши), ЦПТ не применима.
Существуют обобщённые формы ЦПТ, допускающие слабую зависимость или разные распределения (например, теорема Линдеберга–Феллера).
from scipy import stats
import numpy as np
import matplotlib.pyplot as plt
import seaborn as sns
# Распределения
dest = [('uniform', stats.uniform(0, 1)), ('bernoulli', stats.bernoulli(0.5)), ('expon', stats.expon())]
# Кол-во случайных величин, которые будем ссумировать
n = [1, 2, 3, 5, 10, 20, 100, 1000, 10000]
fig, axes = plt.subplots(len(n), len(dest), figsize=(14, 28))
axes = axes.flatten()
c=0
for i in [1, 2, 3, 5, 10, 20, 100, 1000, 10000]:
for name, d in dest:
r = d.rvs((i, 1000))
r = np.sum(r, axis=0)
sns.histplot(r, ax=axes[c], kde=True)
axes[c].set_xlabel(name)
axes[c].set_ylabel(f"n={i}")
c+=1
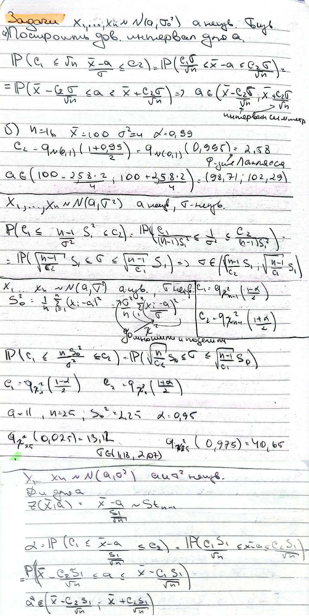
🟦Доверительные интервалы#
Доверительным интервалом для \(\theta\) с уровнем надежности \(\alpha \in [0, 1]\) называется пара статистик \(T_1(X) \leq T_2(X)\):
Метод центральной статистики
Функция \(z(X, \theta)\) называется центральной статистикой, если:
Распределение \(z(X, \theta)\) не зависит от \(\theta\)
\(z(X, \theta)\) монотонна и непрерывна
Теорема Фишера
Пусть \(X_1, X_2, ..., X_n \sim N(\mu, \sigma^2)\), тогда
\(\sqrt{n} \frac{\overline{X}-\mu}{\sigma} \sim N(0, 1)\)
\(\frac{n-1}{\sigma^2}S_1^2 \sim \chi^2_{n-1}\)
\(\sqrt{n} \frac{\overline{X}-\mu}{S_1} \sim st_{n-1}\)
Где \(S^2_1 = \frac{1}{n-1}\,\sum_{i=1}^n (X_i - \overline{X})^2\)
Примеры:
Резюме
\(\mu\) известна, \(\sigma\) неизвестна
\(\mu\) неизвестна, \(\sigma\) известна
\(\mu\) неизвестна, \(\sigma\) неизвестна
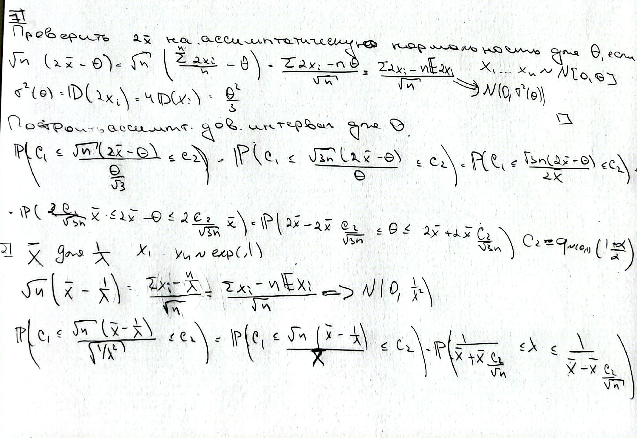
🔹Ассимптотические доверительные интервалы#
Примеры:

\(T(X)\) - ассимптотически нормальная оценка параметра \(\tau(\theta)\) c коэфф. \(\sigma(\theta)\), если
Примеры:
