🟦 Неравенства Маркова и Чебышева #
🔹Неравенство Маркова#
Пусть \(X\) — неотрицательная случайная величина и \(\varepsilon > 0\). Тогда
📎 Идея: вероятность того, что \(X\) превышает \(a\), не может быть больше, чем доля её среднего, приходящаяся на \(\varepsilon\).
🔹Неравенство Чебышева#
Пусть \(X\) — случайная величина с конечным математическим ожиданием \(\mathbb{E}[X]\) и дисперсией \(\mathrm{Var}(X)\).
Тогда для любого \(\varepsilon > 0\)
📎 Смысл: мала вероятность того, что \(X\) сильно отклонится от своего среднего, если дисперсия мала.
🟦 Виды сходимости в теории вероятностей#

🔹Сходимость по вероятности#
Последоваетльность случайных величин \(X_1, X_2, \ldots, X_n, \ldots\) сходится по вероятности к случайной величине \(X\), если
📎 Примеры с кодом для этого типа сходимости будут рассмотрены в пункте про ЗБЧ.
Свойства сходимости по вероятности:
1.Если \( c_n \to c \) (обычные числа), то \( c_n \xrightarrow{P} c. \)
Если \( X_n \xrightarrow{P} X \) и \( Y_n \xrightarrow{P} Y \), то \( X_n \pm Y_n \xrightarrow{P} X \pm Y. \)
Если \( X_n \xrightarrow{P} X \) и \( Y_n \xrightarrow{P} Y \), то \( X_n Y_n \xrightarrow{P} X Y. \)
Если \( X_n \xrightarrow{P} X \), \( Y_n \xrightarrow{P} Y \) и \( P(Y = 0) = 0 \), то \( \frac{X_n}{Y_n} \xrightarrow{P} \frac{X}{Y}. \)
Т. Манна-Вальда. Пусть \( g(x) \) — непрерывная функция. Тогда \( X_n \xrightarrow{P} X \quad \Rightarrow \quad g(X_n) \xrightarrow{P} g(X). \) Т. Манна-Вальда
Если \( |X_n| \le C \) и \( X_n \xrightarrow{P} X \), то \( \mathbb{E}|X_n - X| \to 0.\)
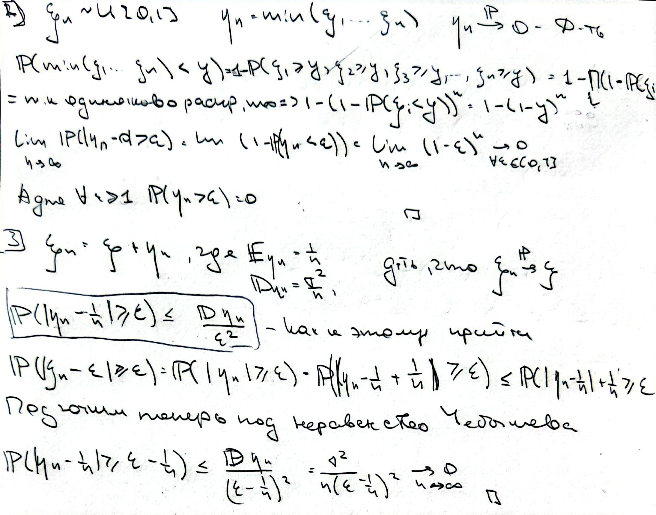
Задачи:


Пример 2

🔹Сходимость в среднем#
Последоваетльность случайных величин \(X_1, X_2, \ldots, X_n, \ldots\) сходится в среднем порядка \(k\) к случайной величине \(X\), если
📎 Легко проверяется и сильнее сходимости по вероятности.
Задачи:

🔹Сходимость почти наверное (с вероятностью 1)#
Последоваетльность случайных величин \(X_1, X_2, \ldots, X_n, \ldots\) сходится к случайной величине \(X\) почти наверное, если
Задачи:

📎 В случае сходимости почти наверное должна быть сходимость к одному и тому же числу при всех \(w\).
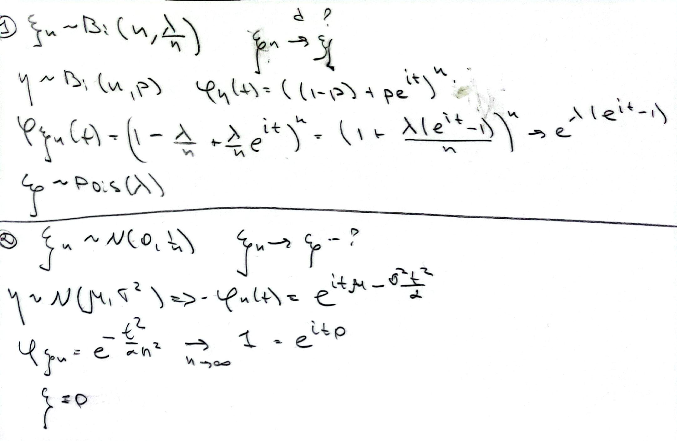
🔹Сходимость по распределению#
Последоваетльность случайных величин \(X_1, X_2, \ldots, X_n, \ldots\) сходится к случайной величине \(X\) по распределению при \(n \to \infty\), если \( F_{X_n}(t) \to F_{X}(t) \text{ или } \varphi_{X_n}(t) \to \varphi_X(t)\,\,\,\,\,\, \forall t\), где \(F_X(t)\) непрерывна.
Теорема Слуцкого для сходимости по распределению
Пусть последовательности случайных величин \( \{ X_n \} \) и \( \{ Y_n \} \) удовлетворяют условиям:
где \( c \) — константа. Тогда выполняются следующие соотношения:
Сумма: \( X_n + Y_n \xrightarrow{d} X + c. \)
Произведение: \( X_n Y_n \xrightarrow{d} cX. \)
Деление: \( \text{Если } c \neq 0, \text{ то } \frac{X_n}{Y_n} \xrightarrow{d} \frac{X}{c}. \)
Если \( X_n \xrightarrow{d} X, \quad Y_n \xrightarrow{d} Y, \) то в общем случае \( X_n + Y_n \not\xrightarrow{d} X + Y\) и аналогичные равенства не выполняются.
Это связано с тем, что при сходимости по распределению информация о зависимости (корреляции) между случайными величинами теряется.
Для таких случаев используется формула свёртки, которая определяет распределение суммы двух независимых случайных величин.
Если же зависимости сохраняются, то простое сложение предельных распределений недопустимо.
Задачи:

